您的位置: 首页  >  软件下载  >  应用软件  >  电阻衰减计算器
95.56%
4.44%

电阻衰减计算器 v2.41

  • 软件介绍
  • 相关下载

电阻衰减计算器版是一款页面简洁大方,适用范围广泛,功能丰富强大,作逻辑简单易上手的专业电阻衰减计算器工具,电阻衰减计算器版的作起来非常的简单,大家只要将需要的各种参数进行输入,点击确的按钮,即可得到各种相关的数值,使用起来简单便捷。

电阻衰减计算器功能介绍

衰减类型包括了T、桥T型等

电阻衰减计算器版可以对阻抗进行输入、输出的阻抗输入、衰减量的输入等

电阻衰减计算器版支持对图形进行快速的查看

电阻衰减计算器软件特色

软件将所有的功能都进行了集中在一个作界面上

而且自定义的即可完成设置的输入

使用是相当的简单,体积方面也小

电阻衰减计算器计算公式

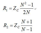
对于T型衰减器:

对于PI型衰减器:

电阻衰减计算器使用方法

1、这本站下载文件找到”电阻衰减计算Att2001.exe”双击运行;

2、点击软件的应用程序图标即可快速的进入软件的主界面;

3、支持根据用户的使用需求来进行衰减的类型选择;

4、自定义的即可输入您需要的各种计算数值,包括了电阻、阻抗、衰减量等,点击确;

5、点击确之后,即可快速的得到各种阻值,包括了R1R2R3等;

电阻衰减计算器 v2.41

普通下载地址:
本地普通下载
本地电信下载
浙江移动下载
广东电信下载

猜你喜欢